서 론
분포형 음향 계측(distributed acoustic sensing; DAS)은 광섬유 케이블(Fiber-Optic Cable; FOC)을 수신기로 활용하는 탐사 기술로써, 광섬유 케이블을 따라 이동하는 짧은 광펄스를 방출하고 후방 산란 신호를 수신할 수 있는 인터로게이터(interrogator) 장치를 통해 광섬유 내에서 발생하는 미세한 변형이나 진동을 감지하여 변형의 정도와 위치를 기록한다(Hartog et al., 2014; Bao and Wang, 2021). 광케이블이 탄성파에 의해 국부적인 변형을 받으면 길어지거나 짧아져 후방 산란 신호의 위상 변화가 발생하며, 이러한 위상 변화를 통해 광케이블을 따라 일정한 간격으로 배치된 일련의 채널(또는 수신기)에서 각 채널을 중심으로 케이블을 따라 이동하는 게이지 길이에 대한 평균값을 측정하여 변형률을 계산할 수 있다(Baird, 2020). 광섬유 기반 탐사는 기존 탐사 방식에 비해 탐사 지역 환경에 미치는 영향을 최소화할 수 있으며(Wei et al., 2024), 전통적인 수신기를 활용하는 것보다 넓은 범위의 공간적 커버리지와 높은 밀도의 자료를 얻을 수 있다는 장점이 있다(Lior et al., 2021; Zhan, 2020). 또한 한 번 설치하면 반영구적으로 사용할 수 있으며 기존에 설치되어 있는 케이블의 재활용이 가능하다(Ajo-Franklin et al., 2019). 분포형 음향 계측은 철도 모니터링, 송유관 감시, 구조 안전 모니터링 등 다양한 분야에서 매우 활발하게 적용되어 왔으며(Lee et al., 2017; Hussels et al., 2016; Kosuke et al., 2023), 고산지대 빙진 활동(Hudson et al., 2021), 미소지진 연구(Karrenbach et al., 2017), 그리고 이산화탄소 지중저장 모니터링(Hopkins et al., 2021) 등의 탄성파 탐사를 활용한 연구 분야에도 활발히 적용되고 있다.
일반적으로 분포형 음향 계측 시스템은, 단일모드 광섬유를 사용하는 경우 레일리 후방 산란 신호가 약하다는 단점이 있으며 다중모드 광섬유를 사용하는 경우 모드 분산(mode dispersion) 및 모드 간 결합(intermodal coupling)으로 인해 다양한 잡음을 유발하므로 신호 대 잡음비가 낮다(Bisyarin et al., 2016). 따라서 분포형 음향 계측 시스템을 통해 지하 정보를 추출하기 위해서 잡음을 억제하고 약한 신호를 복구하여 유용한 데이터를 추출하는 것이 매우 중요하다(Sun et al., 2022). 분포형 음향 계측 시스템에서 관찰할 수 있는 잡음으로는, 대표적으로 인터로게이터 유닛의 기계적 진동과 관련이 있는 공통모드 잡음(Common-mode noise), 광학 간섭으로 인한 광학 페이딩 잡음(Fading noise), 레이저로 인한 무작위 임펄스 잡음, 시추공 분포형 음향 계측에서 발생하는 케이블 공명잡음 등이 있으며, 이를 제거하기 위해 다양한 연구가 진행되었다. f-x 디컨볼루션(Canales, 1984; Sun et al., 2020), 웨이블릿 변환(Quan and Harris, 1997; Gaci, 2014), 저계수 근사(low rank approximation) 필터(Trickett, 2003; Chen and Ma, 2014) 등의 전통적인 잡음제거 방법을 사용하여 분포형 음향 계측 자료의 잡음을 억제하는 연구가 수행되었으나(Binder et al., 2020; Yu et al., 2016) 완전히 제거하기에는 한계가 존재한다. 따라서, 기존의 기술로 제거할 수 없는 복잡한 잡음을 효과적으로 제거하기 위해서는 목표지향적(target-oriented) 잡음 처리 기술이 요구된다(Dong et al., 2020). 페이딩 잡음은 광학 간섭에 의해 발생하는 잡음으로 광섬유 내에서 신호가 부분적으로 약화되거나 사라지는 현상을 의미한다. Ölçer and Öncü (2017)은 적응형 시간 매칭 필터링(Adaptive temporal filtering) 방법을 사용하여 페이딩 잡음을 억제하는 연구를 수행하여 10 dB 이상의 신호 대 잡음비의 향상을 이끌어 내었다. Hartog et al. (2018)은 다중 진동수를 활용하여 서로 다른 위치에서 페이딩 잡음을 발생시켰고, 이를 통해 얻은 독립적인 자료를 통합하여 잡음을 효과적으로 제거하는 연구를 수행하였다. 또한 Lapins et al. (2024)는 Noise2Noise (N2N) 기법을 사용하여 무작위 임펄스 잡음을 억제하는 연구를 수행하여 기존의 대역통과필터와 위너필터에 비해 더 나은 성능을 보였다. 하지만 N2N 기법은 데이터 학습을 위해 잡음-잡음 쌍으로 이루어진 자료가 필요하지만 현장에서 해당 쌍으로 이루어진 많은 양의 정보를 획득하기 어렵다는 단점이 있다. Zhao et al. (2023)은 Sample2Sample 기법을 통해 단일 잡음 자료를 훈련학습 쌍으로 활용하여 N2N기법을 보완하였고 f-x 디컨볼루션, Non-Local mean (NLM) 필터, DnCNN 기법에 비해 효과적으로 무작위 잡음을 줄일 수 있음을 보였다. 공통모드 잡음은 광학 잡음의 한 유형으로 탄성학적 교란에 의해 인터로게이터 주변에서 발생하며 모든 수신기 채널에서 일관된 패턴을 보인다는 특징이 있다(Chen et al., 2023). Willis et al. (2021)는 모든 채널의 자료를 중합하여 하나의 대표 트레이스를 추출하고, 이를 통해 공통모드 잡음을 예측하여 제거하는 방법을 제안하였다. Chen et al. (2023)는 경사 필터링(dip filtering)을 사용하여 공통모드 잡음을 완화하였다. 또한 분포형 음향 계측 자료에서 추가적으로 관측될 수 있는 배경잡음(Background noise), 체크무늬 잡음(checkerboard noise), 광학 이상 잡음(Optical abnormal noise)등을 제거한 연구도 활발하게 진행되었으며(Binder et al., 2020; Olofsson and Martinez, 2017), 기계 학습과 심층 학습 기법을 사용하여 다양한 형태의 잡음을 효과적으로 제거하는 연구가 활발히 이루어지고 있다(He et al., 2024; Feng et al., 2024).
분포형 음향 계측(DAS) 시스템은 높은 감도로 인해 외부 진동이나 장비 자체의 미세한 불안정성에도 민감하게 반응한다. 특히 현장에서는 진동형 송신원을 사용할 때 발생하는 표면파 성분이 시스템 전체에 영향을 미쳐 공통모드 잡음이 형성되는 경우가 빈번하다. 이러한 잡음은 광섬유 간섭계의 기준 신호에 미세한 위상 교란을 유발하여, 모든 채널에 동시에 동일한 진폭 형태로 나타나는 특징을 보인다. 주로 근거리 오프셋 구간에서 강하게 발생하며, 송신원과의 거리가 멀어질수록 점차 약화되는 경향을 보인다. 이러한 공통모드 잡음은 전통적인 자료처리 방식으로는 완전한 제거가 어려워, 신호 대 잡음비(signal-to-noise ratio; SNR) 저하 및 반사 신호의 왜곡을 초래할 수 있다. 따라서 현장 DAS 자료의 정확한 해석을 위해서는 이 잡음을 효과적으로 제거할 수 있는 자료처리 기술의 적용이 필수적이다(Willis et al., 2021).
본 연구에서는 공통모드 잡음을 효과적으로 제거하고 신호 손실을 최소화할 수 있는 기술을 제안한다. 원시자료 내에서 탄성파 신호들은 오프셋(offset)과 왕복주시(two-way traveltime)에 대해 선형 및 쌍곡선의 형태로 존재하며, 공통모드 잡음 요소는 각 왕복주시에 대해 주어진 오프셋 범위에서 채널의 순서와 상관없이 동일한 형태로 나타난다. 이에 대해 트레이스 무작위화(randomization)를 적용하면 기존의 신호 요소는 무작위 혹은 이상 잡음의 형태로 변환되지만 채널의 순서와 관련 없이 선형적인 요소로 존재하는 공통모드 잡음은 원시자료의 형태를 그대로 유지하게 된다. 따라서 무작위화가 적용된 자료에 대해 일관성 강조(coherency enforcing) 혹은 잡음 제거를 수행하여 선형으로 존재하는 공통모드 잡음을 추출해 낼 수 있다. 무작위로 배열되어 잡음의 형태로 변형된 기존의 신호 요소는 시간-진동수 영역 필터링을 사용하여 효과적으로 제거한다. 무작위화 된 자료의 임의의 국소 창(window)에 대해 국소 푸리에 변환(short-time Fourier transform; STFT)을 적용하고 특정 역치 값 이상으로 표현되는 무작위 및 이상 잡음을 제거하여 선형 요소들을 유지하게 된다. 무작위화 및 시간-진동수 영역 필터링을 반복적으로 수행하여 잔여 무작위 및 이상 잡음들을 제거하고 이를 통해 선형의 공통모드 잡음을 추출해낼 수 있다. 제안된 기술은 현장의 데스크톱 컴퓨터 혹은 랩톱 컴퓨터에서 구동할 수 있는 형태의 기술로써, 분포형 음향 계측으로 획득한 자료의 신호 대 잡음비 향상을 통해 현장 품질관리 및 패스트트랙(fast track) 자료처리의 개념으로 사용될 수 있을 것으로 기대되며 실제 자료처리 작업흐름(workflow)에서도 사용자의 요구에 의해 매우 효과적으로 적용될 수 있을 것으로 예상된다.
본 논문은 다음과 같이 구성된다. 먼저 분포형 음향 계측 자료의 구성과 공통모드 잡음에 대해 간략하게 살펴본 뒤, 트레이스 무작위화 및 시간-진동수 영역 필터링 이론에 대해 설명하고 인공 합성자료와 실제 현장 자료에 대한 적용을 통해 본 연구에서 제안하는 기술의 타당성을 검증한다. 본 연구는 분포형 음향 계측 자료에 존재하는 공통모드 잡음 제거에 한정되었으므로 페이딩 잡음, 무작위 임펄스 잡음, 케이블 공명 잡음 등에 대한 제거는 다루지 않는다.
공통모드 잡음 제거 알고리즘
분포형 음향 계측 자료의 공통모드 잡음
분포형 음향 계측은 인터로게이터의 위치부터 측정 최대 오프셋 내에 존재하는 광케이블의 변형을 유발하는 진동 혹은 음파를 기록한다. 분포형 음향 계측 자료의 각 채널에서 기록되는 자료는 채널의 실제 위치에서 기록되는 것이 아닌, 광케이블의 국부 변형에 의한 후방 산란 신호의 위상 변화가 인터로게이터로 전달되어 기록되는 형태이므로 기기의 외부에서 직접적으로 가해지는 진동이나 음향은 마치 전 채널에서 동시간에 동일한 크기로 발생하는 잡음처럼 인식되어 분포형 음향 계측 자료에 함께 기록된다. 따라서 이는 특정 왕복주시의 모든 오프셋에 대하여 일정한 진폭을 갖는 형태로 나타나며 자료 내에서 수평적인 형태로 존재하여 수평 잡음(horizontal noise) 혹은 공통모드 잡음(common-mode noise)로 알려져 있다.
분포형 음향 계측 자료를 모사하기 위해 Fig. 1에서 나타낸 Marmousi-2 속도모델(Martin et al., 2006)을 활용하여 유한차분법(finite different method; FDM) 기반 2차원 파동방정식 모델링을 수행하였으며, 이를 통해 얻어지는 해를 광섬유 내에서 발생하는 변위로 가정하여 아래의 식을 통해 분포형 음향 계측 자료로 근사하였다(Daley et al., 2016):
위 식은 광섬유 축을 따라 발생하는 변위의 시간적 변화를 계산한 것으로 DAS가 측정하는 변형률(strain)의 시간 변화, 즉 변형률 속도(strain rate)를 근사적으로 표현한 것이다. 이 원리에 따라 DAS는 광섬유 축 방향의 변형률 시간 변화를 연속적으로 측정하는 계측 방식으로, 지오폰이 특정 위치에서 입자속도(particle velocity)를 측정하는 방식과 다르다. 변형률(또는 변형률 속도)과 입자속도는 전파 특성과 관측 조건에 따라 일정한 비례 관계를 가지지만, 이러한 근사적 관계는 위상이 안정적인 수직 시추공(VSP) 환경에서만 성립한다. 반면, 복잡한 다중 방향성 파동이 존재하는 지표 DAS 탐사에서는 직접 적용하기 어렵다는 한계가 있다.
식 (1)에서 는 분포형 음향 계측 자료를 의미하며, 및 는 각각 게이지 길이(gauge length)와 시간 샘플링 간격을 나타낸다. 송신원은 진동형 송신원(바이브로사이즈)을 가정하여 1.5 Hz에서 20 Hz 범위의 진동수 대역을 갖는 3초 길이의 선형 업스윕(linear upsweep) 신호를 사용하였으며, 1.5초의 리스닝 시간(listening time)을 설정하여 모델링을 수행하였다. 또한, 분포형 음향 계측을 사용한 수직 시추공 탐사 자료를 생성하기 위해 지표면부터 모델 최하단부까지 수직 방향으로 수신기가 설치되어 있다고 가정하였다. Fig. 2(a)는 모델링으로부터 획득한 교차상관 전 공통 송신원 모음(uncorrelated common shot gather)이며, Fig. 2(b)는 이 자료에 송신원 신호를 교차상관하여 얻은 결과를 나타낸 것이다. 공통모드 잡음은 시간에 따라 주파수가 선형적으로 증가하는 선형 스윕(linear sweep) 형태로 모델링하였으며, 이는 실제 현장에서 사용되는 바이브로사이즈 신호의 주파수 변조 특성과 유사하다(Daley et al., 2016). 공통모드 잡음 모델링에 사용된 식은 다음과 같다:

Fig. 2
(a) Raw synthetic shot gather generated from vertical borehole wavefield modeling. (b) Correlated shot gather obtained by applying source-side cross-correlation to (a). (c) Raw synthetic shot gather with added common-mode noise. (d) Correlated shot gather obtained by applying source-side cross-correlation to (c), showing common-mode noise patterns.
는 공통모드 잡음을 의미하며 특정 시간 에 대해 모든 수신기에 공통으로 존재함을 의미한다. T는 총 기록시간을 의미하며 및 는 각각 잡음 진동수 대역의 시작과 끝 값이다. 본 연구에서는 모델링된 바이브로사이즈 송신원 신호의 스윕 대역(1.5–20 Hz)을 충분히 포함하면서도, 시간 샘플링 간격(Δt = 0.0025 s)에 의해 결정되는 나이퀴스트 주파수(200 Hz)를 초과하지 않도록 5–125 Hz 범위로 설정하였다. Fig. 2(a)의 인공합성 자료에 위와 같이 설정된 공통모드 잡음을 중첩하여 잡음이 추가된 교차상관 전 자료(Fig. 2(c))를 생성하였으며, 이에 대해 송신원 신호와의 교차상관을 수행하여 공통모드 잡음이 포함된 공통 송신원 모음(Fig. 2(d))을 얻었다. Fig. 2(c)에서 관찰할 수 있는 것과 같이 원시자료에 기록된 공통모드 잡음은 송신원과의 교차상관을 통해 새로운 대역을 갖는 잡음으로써 공통 송신원 모음에 나타나고 있으며 특정 시간대에 모든 수신기에 공통적으로 존재하는 것을 확인할 수 있다.
공통모드 잡음 제거를 위한 전통적인 접근 중 하나는 진동수-파수(frequency–wavenumber) 필터링 기법이다. 진동수-파수 영역에서는 시간-공간 영역의 자료를 2차원 푸리에 변환하여 특정 진동수와 파수 성분을 분리해 낼 수 있으므로 공통모드 잡음의 제거에 적합하다 (Chen et al., 2023). 시간-공간 영역에서 기울기가 0으로 나타나는 공통모드 잡음은 진동수-파수 영역에서 파수가 0인 부근()에 에너지가 집중되어 나타난다. 이러한 특성을 기반으로, 해당 영역을 자르기(muting)하거나 감쇄함으로써 공통모드 잡음을 억제할 수 있다.
Fig. 3(b)은 Fig. 3(a)의 공통 송신원 모음 자료를 진동수-파수 영역으로 변환한 스펙트럼으로, 공통모드 잡음은 파수 부근에 집중된 고진폭 에너지로 표현된다. Fig. 3(c)는 해당 영역을 자르기하여 제거한 후 다시 시공간 영역으로 역변환한 결과로, 공통모드 잡음이 제거되어 반사 신호의 연속성이 상대적으로 강조되어 나타난다. Fig. 3(d)는 원시자료(Fig. 3(a))와 잡음제거 결과(Fig. 3(c)) 간의 잔차를 나타내며, 신호의 누락 없이 전 시간축에 걸쳐 일정한 진폭의 공통모드 잡음이 부각되어 나타난다. 이와 같은 결과를 통해, 진동수-파수 영역 에 집중된 공통모드 잡음의 에너지를 분리하여 효과적으로 억제할 수 있음을 확인할 수 있다. 그러나 진동수-파수 필터링은 다음과 같은 한계점을 가진다. 첫째, 사용자가 정의하는 파수 및 진동수 범위 설정에 민감하기 때문에, 적절한 매개변수 선택이 이루어지지 않으면 유효 신호까지 함께 제거될 수 있다. 둘째, 공간적으로 불연속적인 이상 잡음이나 신호가 존재하는 경우, 이는 진동수-파수 영역에서 넓은 파수 영역으로 확산되어 나타나기 때문에, 진동수-파수 필터링을 통한 정밀한 잡음제거가 어렵다. 셋째, 공간 파수 의 성분을 제거하는 과정에서 실제로 유효한 수직 입사 반사 신호의 저파수 성분이 함께 손실될 수 있으며, 이는 최종 영상 품질에 부정적인 영향을 미칠 수 있다. 이러한 이유로 본 연구에서는 공통모드 잡음 제거를 위한 새로운 접근법을 제시하고자 하였으며, 기존의 전통적인 진동수-파수 필터링과는 다른 방식의 공통모드 잡음 제거 알고리즘을 도입하였다. 이를 통해 공통모드 잡음 제거에 있어 해당 기법의 성능과 한계를 실험적으로 평가하고 기존 기법과의 비교를 수행하였다. 본 연구에서 제안하는 공통모드 잡음 제거 알고리즘은 (1) 트레이스 무작위화, (2) 시간-진동수 영역 필터링으로 구성된다.

Fig. 3
(a) A DAS gather from vertical borehole modeling contaminated with common-mode noise. (b) The FK spectrum of the data shown in (a). (c) Denoised gather obtained by zeroing out the components near wavenumber in (b). (d) Extracted common-mode noise obtained by subtracting (c) from (a). Note that the horizontal axis is labeled as trace number rather than depth (m), as the trace order is subject to randomization and/or shifting in the subsequent processing steps.
단계 1: 트레이스 무작위화
공통모드 잡음이 특정 시간대의 모든 수신기에서 동일하게 기록된다는 점을 이용하여, 공통송신원모음 내의 트레이스를 무작위 재배열함으로써 신호와 잡음의 특성을 분리할 수 있다. 개의 샘플과 개의 트레이스로 이루어진 분포형 음향 계측 자료, 를 가정하면 무작위 재배열 된 트레이스 는 아래의 식으로 표현할 수 있다:
여기서 는 번째 시간 샘플에 대한 트레이스 무작위화를 수행하는 함수이다. Fig. 4는 Fig. 3(a)의 자료에 트레이스 무작위화를 적용한 공통 송신원 모음이다. 트레이스 무작위화를 적용할 경우 공통모드 잡음은 트레이스의 순서와 상관없이 특정 시간대에서 선형적인 형태를 유지하는 반면, 기존의 신호 요소는 무작위 혹은 이상 잡음의 형태로 재배열 된다. 따라서, 트레이스 무작위화를 통해 재배열된 자료에서 선형 요소를 분리하는 문제는 곧 공통모드 잡음을 추출하는 문제로 전환된다.
일반적으로 무작위 잡음은 가우시안 분포를 따르며, 통계적 일관성이 낮고 공간적으로 균일하게 분포하는 특성이 있다. 이러한 잡음은 예측 기반(prediction-based) 또는 희소 표현 기반(sparsity-promoting) 필터링 기법에 의해 효과적으로 제거될 수 있다(Canales, 1984; Donoho and Johnstone, 1995). 반면, 이상 잡음은 공간적으로 국소적이며 간헐적으로 고진폭으로 나타나는 비가우시안 성분으로, 일반적인 잡음제거 알고리즘이 전제하는 통계적 특성과 일치하지 않아 필터링 효율이 크게 저하된다. 특히 이상 잡음은 주변과의 연속성을 붕괴시키기 때문에, 기존 필터들이 활용하는 일관성 강조(coherency enforcing) 기반의 메커니즘을 저해하는 주된 원인이 된다. Fig. 4에서 관찰할 수 있듯, 트레이스 무작위화를 통해 유효 신호가 비정상적이고 희소한 형태로 재배열되므로 기존의 신호 성분은 이상 잡음과 유사한 경향을 갖는 형태로 변형된다. 반면, 공통모드 잡음은 트레이스 무작위화 이후에도 동일 시간대에 수평 방향으로 구조적 일관성을 유지한다. 이러한 특성을 고려하여, 본 연구에서는 비가우시안 특성을 갖는 무작위화 된 신호 요소를 제거하고 구조적 일관성을 갖는 성분(공통모드 잡음)만을 효과적으로 추출하기 위해 시간–진동수 영역 잡음제거 알고리즘을 도입하였다(Stein and Langston, 2007; Bekara et al., 2008; Elboth et al., 2010).
단계 2: 시간-진동수 영역 필터링
본 연구에서 사용하는 시간-진동수 영역 필터링은 국지 이동창 기반으로 수행된다. 입력 자료는, 사용자 정의에 따른 크기를 갖는 시간 창으로 분할되어 특정 범위의 시간 대역에 존재하는 트레이스에 대해 독립적으로 잡음제거가 수행된다. 이때 이동창 간에 중첩되는 부분에는 해닝(Hanning) 함수로 정의된 가중치를 적용하여 과적합 문제를 완화하였다(Pielawski and Wählby, 2020). 각 이동창에 대해 시간 방향으로 1차원 푸리에 변환을 수행하면 각 윈도우의 진동수 영역 자료가 얻어진다:
여기서 는 번째 특정 윈도우에 대한 푸리에 변환 자료를 의미하며, 개의 진동수 성분으로 구성된 트레이스의 모음이다. 는 이동창 행렬로써, 전체 자료로부터 이동창에 해당하는 개 샘플을 추출한다. 는 1차원 푸리에 변환 연산자이다. 이후 각 진동수 성분 내 특정 트레이스를 중심으로 하는 군집(group) 벡터를 구성하여 해당 트레이스의 진폭을 주변 트레이스들의 진폭과 비교하여 이상 여부를 판단한다:
는 번째 진동수 성분의 번째 트레이스 평가를 위한 군집 벡터를 의미하며, 이는 특정 진동수 성분 내에서 위치 를 중심으로 임계거리 보다 가까이 존재하는 트레이스를 포함하는 공간적 군집으로 정의할 수 있다. Elboth et al. (2010)은 특정 트레이스의 이상 여부를 판단하는 기준으로 하위사분위수(Lower quartile; LQT), 중앙값(median), 평균값(average) 등의 임계값 설정 방법을 제안하였으며, 특정 트레이스의 진폭이 그룹 내에서 계산된 임계값을 초과할 경우 감쇠 또는 제거를 수행한다. 본 연구에서는 아래의 식과 같이 해당 군집 내 진폭의 중앙값을 사용하여 트레이스의 이상 여부를 판단하였다:
각 트레이스 진폭이 중앙값을 초과하는지를 기준으로 잡음 여부를 판단하고, 필터링된 스펙트럼 를 다음과 같이 정의하였다:
이 과정을 이동창의 각 진동수 성분에 대해 모두 적용함으로써, 결과적으로 모든 트레이스에 대해 진동수별로 이상 진폭이 제거되거나 조정된 스펙트럼이 구성된다. 잡음 제거가 적용된 진동수–공간 영역 자료는 역푸리에 변환을 통해 시간-공간 영역으로 복원되고 식은 다음과 같다:
는 결합 행렬로써 이동창 영역의 자료를 전체 자료에 해당하는 영역으로 사영시키는 연산자이며, 는 1차원 역 푸리에 변환 연산자이다. 는 번째 특정 윈도우에 대한 잡음제거 결과이며, 번째 윈도우 영역을 제외한 부분은 0으로 구성된 행렬이다. 여기서 이다. 따라서 개의 모든 이동창에 대해 위의 작업을 수행하여 얻은, 공통모드 잡음이 제거된 최종 결과는 아래와 같이 표현된다:
이와 같은 알고리즘은 시간–공간 영역에서 이상 진폭이 집중되는 국소 영역만을 선택적으로 감지하고 억제할 수 있는 이점을 제공한다. 특히 전역 필터링 방식이 전체 영역에 동일한 억제 강도를 적용하여 신호 손실이나 과도한 감쇠를 유발할 수 있는 반면, 본 알고리즘은 이동창 기반 국지 처리(localized processing)를 통해 이상 잡음이 나타나는 구간만을 정밀하게 감지하고 처리함으로써 신호 보존성을 극대화할 수 있다. 또한, 시간 및 공간의 해상도가 모두 보존되는 국지 처리 방식은 진동수–공간 영역에서 특정 트레이스 및 진동수 대역에만 국한되어 발생하는 고진폭 이상 잡음을 정확히 감지할 수 있게 해주며, 알고리즘 적용 전후의 자료를 통해 그 제거 성능을 명확히 확인할 수 있다.
본 연구에서는 필터링의 견고성과 공통모드 잡음 분리 성능을 높이기 위해 반복 기반 처리 전략을 도입하였다. 한 차례 필터링이 완료된 후 생성된 결과는 보존되며, 무작위화하기 이전의 입력 자료로부터 새로운 무작위 배열을 다시 생성하여 동일한 시간–진동수 영역 필터링을 적용한다. 이때 새로 얻어진 결과는 이전 단계의 출력과 누적 합산되며, 이러한 절차는 설정된 반복 횟수만큼 연속적으로 수행된다. 이 과정에서 매번 다른 무작위 배열이 적용되기 때문에 잡음으로 인식되는 성분은 평균화되며 점차 제거되는 반면, 공통모드 잡음처럼 일관된 시간–공간 패턴을 가지는 성분은 지속적으로 누적되어 상대적으로 강조된다. 결과적으로, 무작위 잡음으로 변환된 신호 성분은 점차 소거되고, 분리하고자 하는 공통모드 잡음만이 선명하게 부각되는 효과를 얻을 수 있다. 이 때 반복 수행에 따른 진폭 누적 현상을 보정하기 위해 병합된 결과는 반복 횟수로 나누는 정규화를 수행하여 안정된 출력을 제공한다:
마지막으로, 정규화된 결과를 원시자료에서 감산함으로써 공통모드 잡음에 해당하는 성분만을 효과적으로 추출하고 유효한 신호를 얻을 수 있다. 최종적으로 공통모드 잡음이 제거된 분포형 음향 계측 자료는 다음과 같이 표현된다:
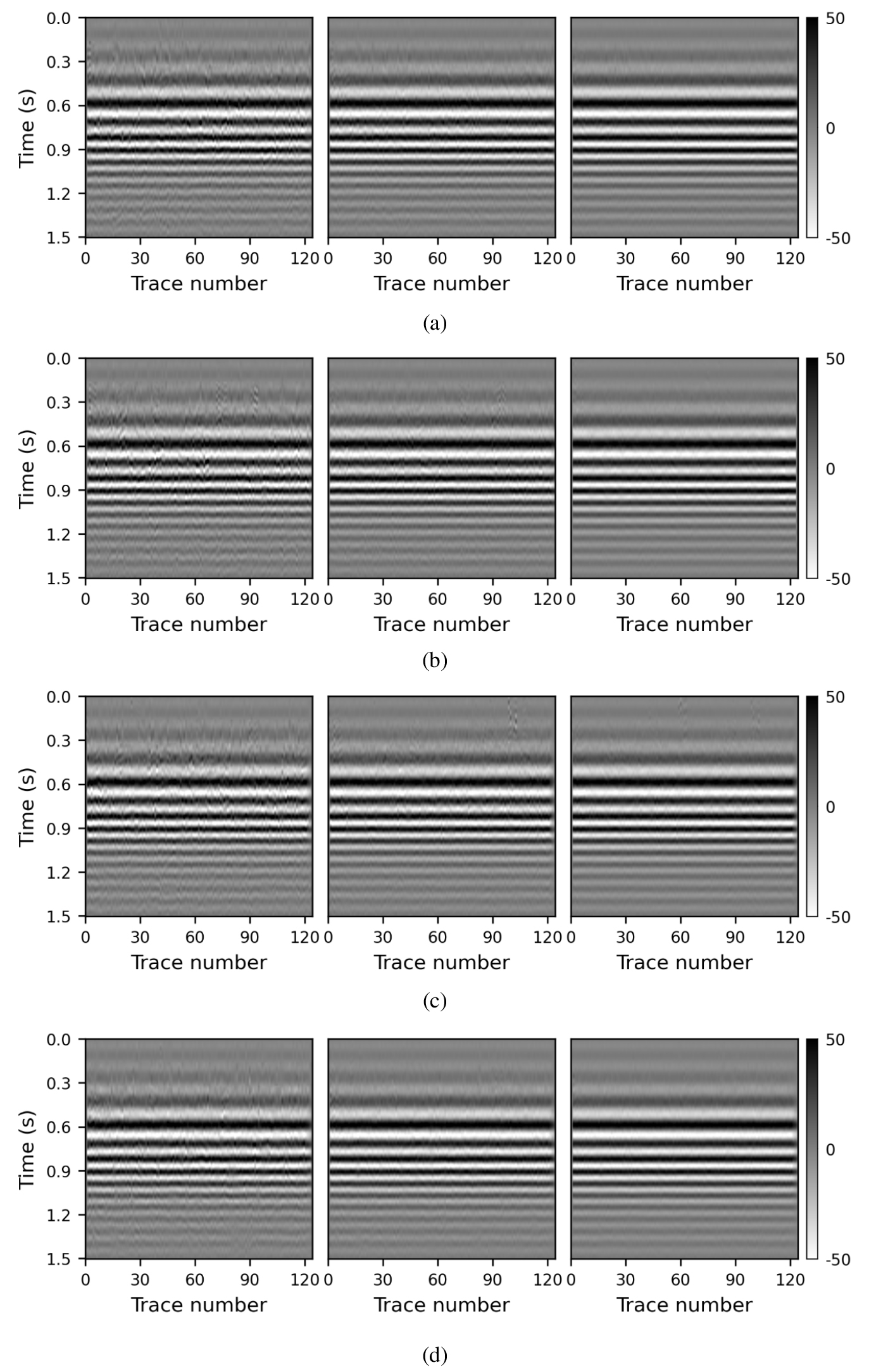
Fig. 5는 시간–진동수 영역 잡음 제거 알고리즘의 반복 적용 효과를 시각적으로 비교한 결과를 나타낸다. Fig. 5(a)는 무작위화 된 자료에 필터링을 한 차례만 수행한 결과이며, 이상 잡음이 일부 억제되었으나 여전히 일부 존재하는 모습이 확인된다. Fig. 5(b)는 필터링 결과들을 누적 합산한 뒤 정규화를 적용한 것으로, 초기보다 더욱 안정된 출력이 도출된 상태를 나타낸다. 반복 과정에서 무작위 잡음 성분은 평균화되어 점차 억제되고, 반면 시간–공간적으로 일관된 공통모드 잡음 성분만이 누적되어 강조되기 때문에, 필터링을 단일 수행한 경우보다 이상 잡음이 더욱 효과적으로 제거된 결과를 보여준다. Fig. 5(c)는 앞선 과정에 반복을 더 많이 수행한 결과로 공통모드 잡음만이 효과적으로 추출됨을 확인할 수 있다. 마지막으로 Fig. 5(d)는 원시자료에서 Fig. 5(c)를 제거한 결과로 반사 계면의 연속성과 진폭을 안정적으로 유지되고 있음을 보여주며, 제안된 알고리즘이 공통모드 잡음을 효과적으로 분리하면서도 신호 보존에 우수한 성능을 제공함을 시사한다.
추가적으로, 알고리즘의 주요 제어 변수인 반복 횟수, 이동창 크기, 및 임계거리 설정에 따른 결과의 민감도를 추가적으로 검토하였다(Figs. A1 and A2). 반복 횟수가 증가함에 따라 공통모드 잡음 성분은 점차 안정적으로 수렴하는 반면 과도한 반복에 의한 진폭 누적 효과는 미미하여 결과에 유의미한 영향을 주지 않았다. 또한 이동창 크기는 시간 해상도와 공간적 평활성의 균형을 결정하는 인자로서 작은 창은 세밀한 잡음 검출에 유리하나 연속성이 다소 저하되고 계산 부하가 증가하는 경향이 있으며, 반대로 큰 창은 공간적 일관성이 향상되지만 국지적 이상 잡음 검출력이 일부 감소할 수 있다. 마지막으로 임계거리(h) 값이 작을수록 이상 진폭 검출이 민감해지는 반면, 지나치게 작은 경우에는 정상 신호가 부분적으로 감쇠될 가능성이 있고, 너무 큰 경우에는 필터링 강도가 다소 약화되는 경향을 보였다. 이와 같이 이동창 크기나 임계거리 설정에 따라 세부적인 결과의 차이는 존재하지만, 전체적인 잡음 제거 경향은 유사하며, 제안된 시간–진동수 영역 필터링 알고리즘은 다양한 파라미터 조합에서도 안정적인 성능을 유지함을 확인하였다.
이와 같은 시간-진동수 영역 잡음 제거 알고리즘은 다음과 같은 장점을 갖는다. 첫째, 국소 창 기반 구조를 통해 잡음이 집중된 구간에도 민감하게 반응할 수 있으며, 기존 전역 필터링 방식에 비해 신호 손실을 최소화할 수 있다. 둘째, 사용자 정의 파라미터에 따라 세부 결과가 달라질 수 있으나, 데이터 기반(data-driven) 통계량을 이용하므로 다양한 환경에서 일관된 성능과 재현성을 제공할 수 있다. 셋째, 알고리즘의 구조가 단순하므로 구현이 용이하며 실제 처리 과정에서의 계산 부담이 크지 않다. 따라서 현장의 데스크탑 수준의 계산환경에서 적용이 가능하므로 현장 QC용으로 사용될 수도 있다. 마지막으로, 해닝 윈도우 기반의 정규화 병합 방식은 창 경계에서의 인공 잡음(artifacts)을 억제하고 전체 필터링 결과의 연속성과 품질을 동시에 보장한다. 결론적으로, 제안된 시간-진동수 영역 잡음 제거는 국소적으로 존재하는 고진폭 이상 잡음을 억제할 수 있는 실용적이고 확장 가능한 잡음 제거 프레임워크로 기능하며, 분포형 음향 계측 자료의 신호 해석 및 후속 처리의 정밀도를 높이는 데 크게 기여할 수 있다.
현장 자료 예제
본 연구에서는 경주시 외동읍 제내리 지역에 위치한 수직 시추공(C2공)에 설치된 분포형 음향 계측 시스템을 통해 획득한 현장 자료를 활용하였다. KIGAM (2022) 보고서에 따르면 해당 시추공은 상부에 풍화대가 발달하고 하부는 주로 경암으로 구성되어 있다. 일부 구간에서는 국지적인 파쇄대가 관찰되며 시추공 주변의 단층 구조와 관련된 것으로 해석된다. 이 시추공에는 단일모드 광섬유가 심도 약 990 m까지 삽입되어 있으며 얻어진 자료는 총 3,961개의 트레이스가 기록되었다. 자료 획득에는 진동형 송신원(Envirovib2)을 사용해 5–120 Hz 범위의 진동수 대역을 갖는 20초 길이의 업스윕(up-sweep) 신호를 입력하였다(KIGAM, 2022). 이러한 현장 분포형 음향 계측 자료를 바탕으로 본 연구에서 제안하는 시간–진동수 영역 기반 잡음 제거 알고리즘의 성능을 검증하고자 하였으며, 전통적인 진동수–파수 필터링 기법과의 비교를 통해 알고리즘의 효과를 분석하였다. Fig. 6(a)는 수직 시추공 탐사를 통해 획득한 원시 분포형 음향 계측 자료로, 전체 시간 축에 걸쳐 수신기 전 구간에서 일관된 수평 잡음 성분이 강하게 나타나고 있다. Fig. 6(b)는 원시자료에 대해 진동수-파수 필터링을 적용한 결과로, 수평 방향의 공통모드 잡음 성분이 전반적으로 억제된 모습을 보인다. 그러나 Fig. 6(c)는 원시자료(Fig. 6(a))에서 필터링 된 자료(Fig. 6(b)) 간 잔차를 나타내는 자료로 공통모드 잡음이 완전히 제거되지 않고 일부 성분이 약화된 형태로 잔존함을 확인할 수 있다. 이는 진동수-파수 필터링을 통해 공통모드 잡음의 에너지가 상당 부분 감소하였으나 해당 성분이 여전히 남아 있음을 의미한다. Fig. 6(d)에서 관찰할 수 있듯 = 0 성분에 대한 제거를 통해 일부 수평 성분이 감쇠되었으나, 잡음의 공간적 변동성과 파수 확산성으로 인해 일부 구간에서는 여전히 잡음이 존재하며 동시에 수직 반사 신호의 저주파 성분 일부가 함께 손실되는 현상이 확인되었다. 앞서 Fig. 3(a)~3(d)에서 제시된 인공 합성자료 결과에서는 공통모드 잡음이 이상적으로 진동수-파수 영역에서의 = 0 성분에 존재했으므로 진동수-파수 필터링이 공통모드 잡음 제거에 효과적으로 작용하는 모습을 확인할 수 있었다. 그러나 이러한 이상적인 환경과 달리, Fig. 6(a)와 같은 실제 현장 분포형 음향 계측 자료에서도 공통모드 잡음은 전반적으로 수평적인 패턴을 보이지만, 다른 잡음으로 인한 진폭의 불균일성이나 위상 변동 등의 국소적인 비선형성을 동반하는 경우가 많다. 이러한 문제 해결을 위해 사용자 정의에 기반한 맞춤 자르기(tailored muting), 마름 자르기(surgical muting)가 필요하다. 이 경우 사용자에 따라 다른 변수가 적용되어 결과의 일관성이 낮아지고, 변환 자료의 특정 대역을 잘라내는 자르기의 특성상 유효 신호의 손실이 발생할 수 있다.
Fig. 7은 동일한 현장 분포형 음향 계측 자료에 대해 본 연구에서 제안하는 공통모드 잡음 제거 알고리즘을 적용한 결과를 단계별로 나타낸다. Fig. 7(a)는 Fig. 6(a)에 해당하는 원시자료에 대해 트레이스 무작위화를 적용한 결과로, 공통모드 잡음은 채널 순서에 무관하게 수평 방향의 선형 구조를 그대로 유지하는 반면, 기존 반사 신호들은 무작위 잡음처럼 변환되어 공간적 일관성이 사라진 상태로 표현된다. Fig. 7(b)는 시간–진동수 영역 필터링을 여러 차례 반복 적용한 결과로, 자료 처리 과정에서 매번 다른 무작위 배열을 기반으로 필터링이 수행되었기 때문에 무작위 잡음 요소는 점차 평균화되어 소거되고, 반대로 공통모드 잡음처럼 일관되게 유지되는 시간–공간 패턴만이 점차적으로 강조되어 남아 효과적으로 공통모드 잡음을 추출할 수 있다. Fig. 7(c)는 추출된 공통모드 잡음(Fig. 7(b))을 원시자료(Fig. 6(a))로부터 감산하여 얻은 결과이다. 반복 정규화를 거쳐 추출된 공통모드 잡음을 원시자료로부터 제거함으로써 신호 성분은 손실 없이 보존되고, 잡음이 제거된 정제된 반사파 출력을 얻을 수 있었다. 이러한 결과는 제안된 알고리즘이 기존 진동수–파수 필터링에 비해 더 높은 적응성과 안정적인 분리 성능을 제공하며 탄성파 해석 및 영상화 과정에서 신뢰도 높은 전처리 기법으로 활용될 수 있음을 시사한다. 특히 사용자 정의 변수에 대한 민감도가 낮고, 공통모드 잡음처럼 일관된 공간적 특성을 가지는 성분에 대해서는 기존 방법보다 더욱 효과적으로 작용하여 현장 자료 처리에 있어 유용한 대안이 될 수 있다.

Fig. 7
(a) Trace-randomized version of the gather shown in Fig. 6(a). (b) Estimated common-mode noise obtained by applying the time-frequency domain filtering algorithm with iterative processing. (c) Denoised gather resulting from the subtraction of (b) from Fig. 6(a). (d) FK spectrum of the denoised gather shown in (c).
시간–진동수 영역 필터링의 성능을 정량적으로 검증하기 위해 원시 입력자료, 필터링된 자료 및 추출된 공통모드 잡음에 대해 진동수-공간 영역으로 변환한 후, 진동수 축을 따라 스택한 평균 진폭 스펙트럼을 비교하였다(Fig. 8). Fig. 8(a)는 추출된 공통모드 잡음의 진폭 스펙트럼을 나타낸 것으로, 저진동수 대역에서 비교적 강하게 분포하고 있음을 확인할 수 있다. 그러나 Fig. 8(b)와 같이 원시자료의 진폭 스펙트럼과 비교할 경우, 공통모드 잡음의 진폭이 전체 신호에 비해 매우 낮다는 것을 알 수 있다. 이는 유효 신호에 대한 잡음의 영향이 상대적으로 작다고도 해석할 수 있으나, 실제 자료(Fig. 6(a))에서는 잡음 성분이 명확하게 관찰되므로 반드시 제거가 필요하다. Fig. 8(c)는 원시자료와 시간–진동수 영역 필터링을 통해 추출된 신호를 20 Hz까지 확대하여 비교한 결과로, 본 연구에서 제안하는 공통모드 잡음 제거 방법이 강한 반사 신호의 진폭을 보존하면서 공통모드 잡음 성분을 선택적으로 제거하였음을 보여준다. 마지막으로 Fig. 8(d)는 진동수-파수 필터링과 시간–진동수 영역 필터링 결과에 대한 주파수별 신호 대 잡음 비(signal-to-noise ratio; SNR) 스펙트럼을 비교한 것이다. 신호 대 잡음 비는 >를 사용해 계산했다. 시간-진동수 영역 필터링 결과가 진동수-파수 필터링에 비해 전 주파수 구간에서 약 25dB 정도 높은 신호 대 잡음 비를 보임을 관찰할 수 있으며, 진동수-파수 필터링에서 신호의 손실이 발생했음을 유추할 수 있다. 위 결과를 바탕으로, 본 연구에서 제안된 방법이 공통모드 잡음 억제에 효과적임을 정량적으로 확인할 수 있다.

Fig. 8
(a) Amplitude spectrum of the extracted common-mode noise. (b) Comparison of amplitude spectra between the raw data and the extracted common-mode noise. (c) Comparison of amplitude spectra between the raw data and the denoised data, shown with a zoom-in up to 20 Hz. (d) Comparison of signal-to-noise ratio (SNR) spectra between the FK filtered and time-frequency domain filtered data.
결 론
본 연구는 분포형 음향 계측 시스템(Distributed Acoustic Sensing; DAS)을 활용한 탄성파 탐사에서, 일반적인 탄성파 자료에서는 관찰되지 않는 공통모드 잡음을 효과적으로 제거하기 위해 새로운 접근법을 제안하고 적용하였다. 공통모드 잡음은 인터로게이터 장비의 진동 등 외부 원인에 의해 발생하며, 모든 채널에 동시에 수평적으로 기록되는 특징을 갖는다. 이러한 잡음을 제거하기 위해, 본 연구에서는 트레이스 무작위화를 통해 공통모드 잡음을 강조하고 신호 성분을 이상 잡음 형태로 변환한 뒤, 시간–진동수 영역 필터링 알고리즘을 반복적으로 적용하여 신호와 잡음을 분리하는 절차를 고안하였다. 합성 자료에 대한 적용 결과, 기존의 진동수–파수 필터링과 본 연구의 시간-진동수 영역 잡음 제거 알고리즘 모두 공통모드 잡음을 안정적으로 제거하는 데 효과적이었다. 이는 모델링된 잡음이 시간 및 공간적으로 이상적으로 정렬된 상태로 구현되었기 때문이며 공통모드 잡음 성분이 = 0 부근에서 명확하게 분리 가능했기 때문이다. 그러나 실제 수직 시추공 현장 분포형 음향 계측 자료의 경우, 공통모드 잡음이 보다 복합적인 시간–공간적 변동성을 동반하므로 진동수-파수 필터링은 이론적으로 효과적인 결과를 낼 수 있음에도 불구하고 필터링 변수 설정이 사용자 정의에 크게 의존하고 민감하게 반응한다는 한계가 존재한다. 특히 소프트웨어 기반의 자동 조정 기능 없이 수동으로 구현되는 환경에서는 최적의 파라미터를 찾기 어려워, 동일한 필터링 방식이라 하더라도 실제 적용 시 성능 차이가 크게 나타날 수 있다. 반면 본 연구에서 제안하는 알고리즘은 트레이스 무작위화와 국소 윈도우 기반 이상 진폭 억제 메커니즘을 통해 이러한 복잡한 잡음 성분을 정밀하게 감지하고 안정적으로 제거할 수 있음을 확인하였다. 특히, 중앙값 기반의 통계적 이상치 판단과 국소 영역 슬라이딩 윈도우 구조는 공간적으로 제한된 고진폭 이상 잡음에 효과적으로 반응하며 데이터 기반(data-driven) 방식으로 신호 손실을 최소화하였다. 반복 기반 누적 필터링 전략은 무작위 잡음을 평균화하고 시간-공간적으로 일관된 공통모드 잡음을 점차 강조함으로써 알고리즘의 견고성과 안정성을 크게 향상시켰다. 이를 통해 신호 대 잡음비가 낮은 분포형 음향 계측 환경에서도 실질적인 자료 해석이 가능해졌으며 기존 필터링 기법 대비 사용자 설정에 대한 민감도가 낮아 자동화 또는 실시간 모니터링 시스템에 효과적으로 적용될 수 있다.
제안된 알고리즘은 저주파 대역에서 비교적 강한 진폭을 보이는 공통모드 잡음에 대해 높은 제거 성능을 보였으나 상대적으로 미약한 진폭으로 존재하는 고주파 잡음 성분에 대해서는 감지 및 제거가 충분하지 않을 수 있다. 이 성분들은 반사 신호에 비해 약하지만 여전히 해석에 영향을 미치는 잡음이므로 고주파 대역 이상 진폭에 대한 민감도를 개선하는 방향으로 알고리즘의 정밀도를 보완할 필요가 있다. 또한, 제안된 방식은 단독으로도 효과적이나 진동수-파수 필터링 및 웨이블릿 기반 방법 등 기존 잡음 제거 기법과의 복합 적용을 통해 다양한 잡음 특성에 대한 대응력을 강화할 수 있을 것으로 기대된다. 마지막으로, 분포형 음향 계측 자료는 채널 밀도의 특성으로 인해 데이터 양이 방대하기 때문에 제안된 알고리즘의 반복 구조와 병렬 처리 특성을 활용하여 자동화 및 실시간 적용이 가능한 잡음 제거 시스템으로의 확장이 가능할 것으로 기대된다.








